脂质组学已经成为机制研究、疾病标志物发现和营养代谢研究中的重要工具,但真正做过数据分析的人都知道:从原始数据整理到差异脂质筛选,再到统计作图和生物学解释,整个流程不仅步骤繁多,而且对软件和分析经验要求很高。
今天想和大家分享一种更高效的方式:利用 Skill,一步完成脂质组学数据分析流程。无论你是生信新手,还是想提升分析效率的研究者,这套方法都值得了解。
PART 1
脂质组学分析为什么总让人头疼
做过脂质组学分析的人,大多都会有一个共同感受:真正耗时间的,往往不是某一个统计步骤本身,而是整个流程中大量零散却又必不可少的操作。一个完整的分析过程,通常包含原始数据整理、样本分组匹配、缺失值处理、标准化、整体分布评估、差异筛选、图表绘制以及结果汇总等多个环节。任何一个环节出问题,都会影响后续结果。
另一个让人头疼的地方,是工具分散。很多时候,不同分析步骤需要借助不同软件、脚本或者平台来完成。前面在表格软件里整理数据,后面切换到统计工具做分析,再切换到绘图软件调整图表,最后还要回到文档里整理结论。工具之间来回跳转,不仅增加了操作成本,也容易在复制、转换和整理过程中引入错误。
对新手而言,这种难度会更明显。很多人并不是不理解科研问题,而是卡在技术实现上。例如,明明知道要比较对照组和疾病组之间的脂质差异,却不知道该选择什么统计方法;明明知道需要做 PCA 和热图,却不知道如何准备输入数据和设置参数。结果就是,分析工作被拆成很多看似独立的小问题,推进起来既慢又零碎。
此外,传统分析流程里还有一个经常被忽视的问题,就是可重复性不足。手工操作过多,意味着不同人、不同批次甚至同一个人在不同时间做分析,可能都会出现细微差异。对于需要长期积累项目经验、建立团队标准流程的实验室来说,这显然不是最理想的状态。
也正因为如此,很多科研人员真正需要的,并不只是一个能出图的工具,而是一套更连贯、更稳定、更适合日常项目复用的分析方式。
PART 2
传统流程 vs Skill 流程
如果把脂质组学分析流程拆开来看,传统方式和 Skill 方式之间的差别其实非常明显。

在传统流程中步骤多,分散,而 Skill 的思路,把skill的分散步骤重新整合起来。这种差异带来的最大变化,是分析节奏被明显缩短了。以前需要拆成多个阶段、来回切换和手动拼接的工作,现在可以更自然地串联起来。对研究者来说,流程更顺,结果更集中,也更容易快速判断哪些脂质变化值得重点关注。
更重要的是,Skill 所代表的并不是简单意义上的“自动化”,而是一种标准化思路。它让分析流程从依赖个人经验的零散操作,逐步转向可复用、可复制的统一过程。对于需要持续处理类似项目的团队来说,这一点尤为重要。
PART 3
从上传数据到拿到结果
下面展示一下实战演示
1.指定工作目录和分析环境,输入分析指令

查看分析结果,发现未做注释,输入命令让他补充

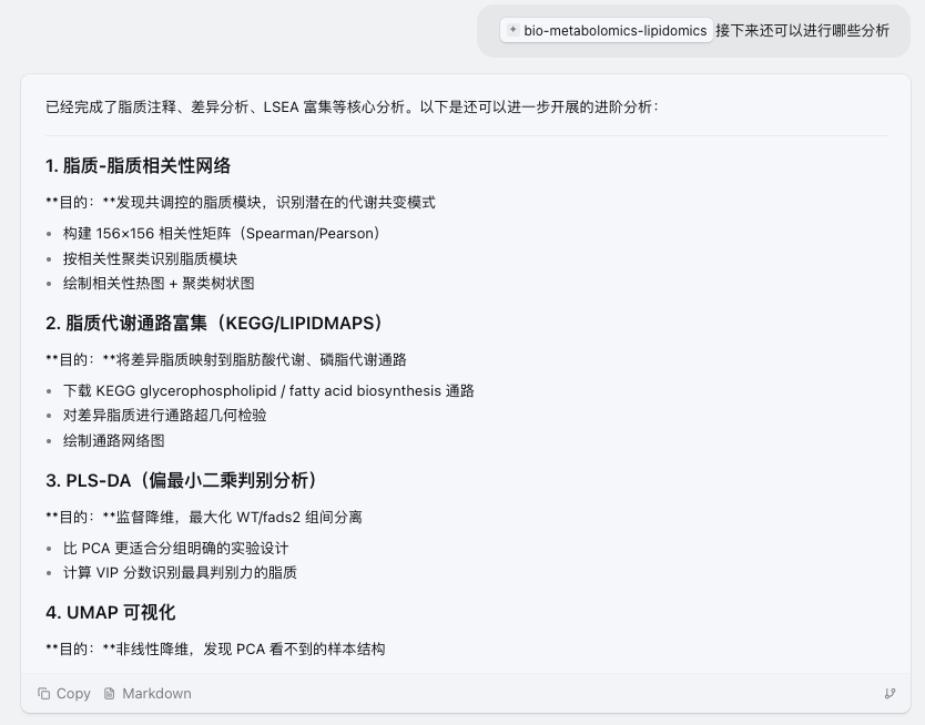
2.拓宽分析思路
基本分析已经结束了,可以让OKClaw做进阶的分析


3.进行分析总结



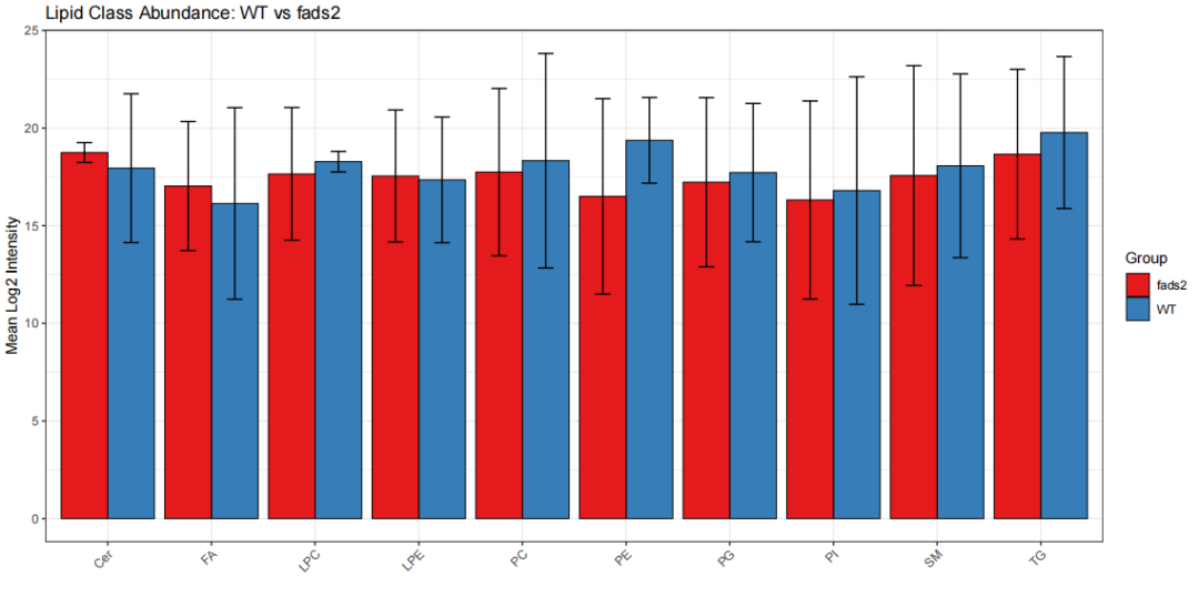
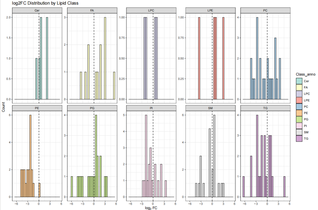
分析结果图展示:



从数据到论文图,Skill 的价值并不只是“把分析跑完”,而是让研究者更快进入真正有科研价值的阶段。过去很多时间耗在流程处理和重复整理上,现在则可以把更多精力放在结果判断、生物学机制推测和后续验证设计上。这种转变,对于项目推进效率的提升是非常直接的。
PART 4
工具获取办法
借助 OKClaw + Skill,脂质组学数据分析可以从“多工具切换、反复手动处理”的繁琐流程,变成更高效的一站式完成。
1.安装OKClaw。
OKClaw官网:https://okclaw.dafoai.com

登陆(平台账号通用,已有账号直接登录即可)

2.下载skill。
将skill安装包给OKClaw输入安装命令即可。【需要skill的小伙伴可以后台私信“脂质组学数据分析skill”领取】

PART 5
最后
对脂质组学研究来说,分析工作越往后发展,越不能只依赖个人熟练度去硬撑流程。随着样本量增加、项目数量增多,以及团队协作需求提升,分析方式是否高效、稳定、可复制,会越来越重要。
Skill 也更适合流程沉淀。对于实验室或团队而言,如果一套分析逻辑能够稳定复用,那么不同项目之间就更容易形成统一标准,结果展示方式也会更一致。这不仅有利于内部协作,也有助于后续汇报、论文整理和经验传承。
当然,也需要明确一点:Skill 并不是替代研究者思考。它的作用,是把重复、琐碎、容易消耗精力的部分尽可能标准化,让研究者把更多注意力放回到真正重要的问题上——这些差异脂质意味着什么?它们和研究对象之间可能存在怎样的生物学联系?哪些结果值得进一步实验验证?
如果你也正在做脂质组学相关研究,或者正在寻找一种更高效的数据分析方式,也许可以试着从 Skill 开始。很多时候,流程一旦跑顺了,科研推进的速度就会比想象中快得多。
生信干货持续更新,欢迎关注不迷路~ OKClaw:https://okclaw.dafoai.com