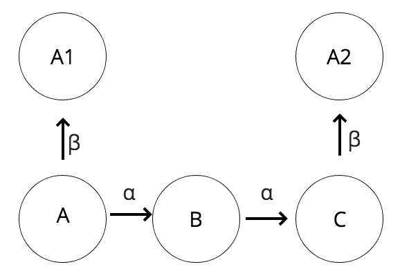
我有一张图是这样的:

使用葛兰,我尝试从A遍历并收集这些元组:
(A, Some(A1)), (B, None), (C, Some(A2))
因此,本质上,我想重复地将α从边缘取出来,并可选择地将其分支到β,收集这些数据。我猜想,如果没有β边缘,我需要注入一个空的“步骤”,但我还没有弄清楚如何做到这一点。
我也有点困惑如何在遍历β之后倒带,因为jump已经神秘地被移除了(TP 3.1+)
到目前为止,我有这样的情况:
graph.V("A").untilWithTraverser(t => t.get.outE(α).notExists()
).repeat(_.out(α).as(foo).out(β).as(bar)).select((foo,bar)).toList但是,如果“主干”上的任何节点缺少β out边缘,这不会回滚回主遍历,并且失败。
发布于 2016-04-19 15:58:31
这是我的gremlin-scala解决方案,基于Daniel的回答。
val unionTraversal = __[(String, Vertex)].union(
__[Vertex].identity.map("blob" -> _),
__.out(Beta).map("beta" -> _)
).traversal
def pathTuplesToScalaTuples(path: Path) =
path.objects.asScala.map(_.asInstanceOf[java.util.ArrayList[(String, Vertex)]].asScala.toList).toList
val pathO = graph.V("A")
.until(_.not(_.out(Alpha)))
.repeat(_.out(Alpha))
.path.by(unionTraversal.fold).headOption
val tuples = pathO.map(pathTuplesToScalaTuples)不幸的是,这涉及到一些实际使发出的顶点有用的知识。
首先,当将匿名遍历传递到联合中时,步骤标签会被擦除,这样就不能用.as("blob")标记发出的集合--这就是用字符串标签用元组包装它们的解决方法。
其次,gremlin还没有Path的包装器(而且可能永远得不到它,因为路径可以有任意的结构),所以我们不得不进行丑陋的转换。
发布于 2016-04-16 20:39:10
我不能提供gremlin解决方案,但是您应该可以很容易地转换以下Groovy示例:
g.V("A").until(__.not(outE("alpha"))).
repeat(out("alpha")).path().by(union(identity(), out("beta")).fold())这将返回:
[[A, A1], [B], [C, A2]]海事组织,这就足够了。但是,如果您需要一组一致的两个条目,您可以这样做:
g.V("A").until(__.not(outE("alpha"))).repeat(out("alpha")).
path().by(union(identity(), coalesce(out("beta"), constant("N/A"))).fold())然后...which将返回:
[[A, A1], [B, N/A], [C, A2]]完整会话:
http://gremlinbin.com/bin/view/57133bdc8ee00
https://stackoverflow.com/questions/36656279
复制相似问题