我正在尝试用tsung (负载测试)测试我的Tigase XMPP服务器。从.csv文件中读取“用户名;密码”的列表。对于基本测试,.csv文件只包含3个用户: user1、user2和user3。
在tsung.xml配置文件中,我配置了每秒12.5个连接,并且每个连接都保持活的2000秒。
我没有什么问题:
宗地位:
Tsung is running [OK]
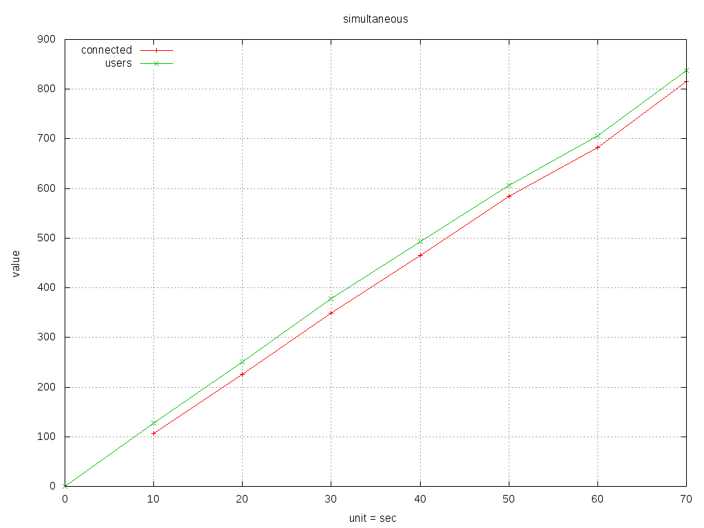
Current request rate: 32.59 req/sec
Current users: 415
Current connected users: 384
Current phase: 1宗图:

谢谢!
发布于 2013-11-15 16:41:44
文档https://tsung.readthedocs.org/en/latest/reports.html#available-stats中的更多信息
https://stackoverflow.com/questions/19981629
复制相似问题