这是一个关于如何正确组织子图的问题,而不是如何创建堆叠条的问题。
我有以下数据:
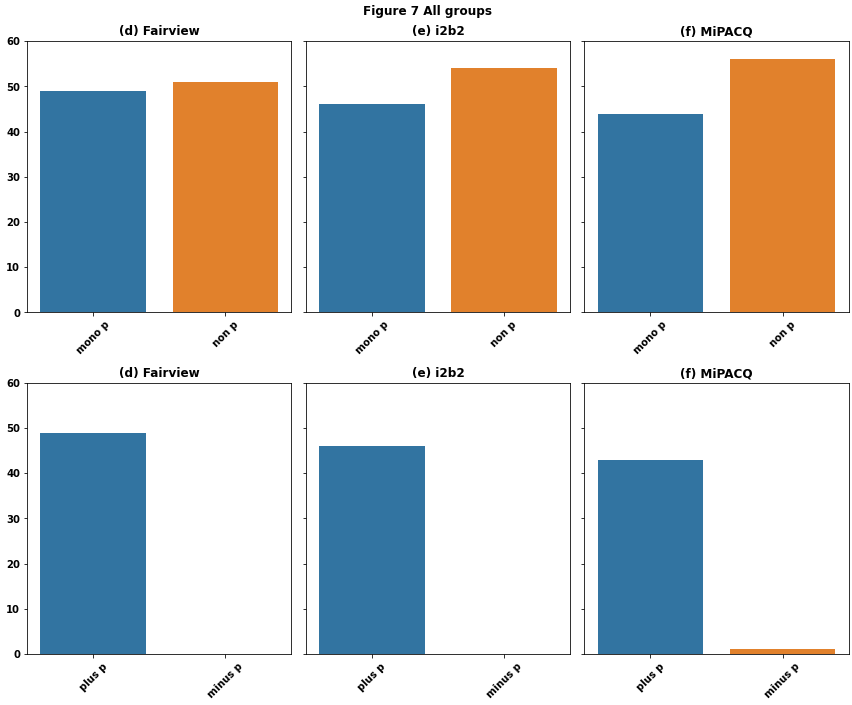
corpus group mono p non p plus p minus p
0 fairview all 49 51 49 0
1 i2b2 all 46 54 46 0
2 mipacq all 44 56 43 1并希望按照两个附加数字中给出的输出进行排列,以便得到n列和2行,而不是每一行1行的两个单独的子图(因此,在本例中,单个子图上将有2行、3列,而不是2子图上的1、3列):


我使用以下代码将这两个数字作为单独的子图生成:
data = <above dataframe>
semgroups = ['all']
corpus = ['fairview', 'i2b2', 'mipacq']
for sg in semgroups:
i = semgroups.index(sg)
ix = i + 7
ncols = len(set(data.corpus.tolist()))
nrows = len(set(data.group.tolist()))
fig = plt.figure()
fig, axs = plt.subplots(1, ncols, sharey=True)
for ax,(idx,row) in zip(axs.flat, data.iterrows()):
# I WANT TO PLOT BOTH ROWS on same subplot
#row[['mono p', 'non p']].plot.bar(ax=ax, color=['C0','C1'])
row[['plus p', 'minus p']].plot.bar(ax=ax, color=['C0','C1'])
if row['corpus'] == 'fairview':
corpus = 'Fairview'
label = '(d) '
elif row['corpus'] == 'mipacq':
corpus = 'MiPACQ'
if ncols == 3:
label = '(f) '
else:
label = '(b) '
else:
corpus = 'i2b2'
label = '(e) '
ax.set_title(label + corpus)
ax.tick_params(axis='x', labelrotation = 45)
if sg == 'all':
sg = 'All groups'
# Defining custom 'xlim' and 'ylim' values.
custom_ylim = (0, 60)
# Setting the values for all axes.
plt.setp(axs, ylim=custom_ylim)
fig.suptitle('Figure ' + str(ix) + ' ' + sg)在上面的代码中,我迭代我的df,获取以下行以生成两个单独的子图:
# BUT, I WANT TO PLOT BOTH ROWS ON SAME SUBPLOT
row[['mono p', 'non p']].plot.bar(ax=ax, color=['C0','C1'])
row[['plus p', 'minus p']].plot.bar(ax=ax, color=['C0','C1'])无论我如何做到这一点,我都无法在一个子图中得到所需的两行(我总是得到一个空行,第二行没有数据)。
发布于 2021-10-19 12:57:45
见内联comments
python 3.8.12**,** pandas 1.3.3**,** matplotlib 3.4.3**,** seaborn 0.11.2import pandas as pd
import matplotlib.pyplot as plt
import seaborn as sns # seaborn is a high-level api for matplotlib
# sample dataframe
data = {'corpus': ['fairview', 'i2b2', 'mipacq'], 'group': ['all', 'all', 'all'], 'mono p': [49, 46, 44], 'non p': [51, 54, 56], 'plus p': [49, 46, 43], 'minus p': [0, 0, 1]}
df = pd.DataFrame(data)
semgroups = df.group.unique() # unique groups
corpus = df.corpus.unique() # unique corpus
rows = [['mono p', 'non p'], ['plus p', 'minus p']] # columns for each row of plots
for sg in semgroups:
i = semgroups.index(sg)
ix = i + 7
ncols = len(corpus) # 3 columns for the example
nrows = len(rows) # 2 rows for the example
# create a figure with 2 rows of 3 columns: axes is a 2x3 array of <AxesSubplot:>
fig, axes = plt.subplots(nrows, ncols, sharey=True, figsize=(12, 10))
# iterate through each plot row combined with a list from rows
for axe, row in zip(axes, rows):
# iterate through each plot column of the current row
for i, ax in enumerate(axe):
# select the data for each plot
data = df.loc[df.group.eq(sg) & df.corpus.eq(corpus[i]), row]
# plot the dataframe, but setting the bar color is more difficult
# data.T.plot(kind='bar', legend=False, ax=ax)
# plot the data with seaborn, which is easier to color the bars
sns.barplot(data=data, ax=ax)
if corpus[i] == 'fairview':
l2 = 'Fairview'
l1 = '(d) '
elif corpus[i] == 'mipacq':
l2 = 'MiPACQ'
if ncols == 3:
l1 = '(f) '
else:
l1 = '(b) '
else:
l2 = 'i2b2'
l1 = '(e) '
ax.set_title(l1 + l2)
ax.tick_params(axis='x', labelrotation = 45)
if sg == 'all':
sg = 'All groups'
# Defining custom 'xlim' and 'ylim' values.
custom_ylim = (0, 60)
# Setting the values for all axes.
plt.setp(axes, ylim=custom_ylim)
fig.suptitle('Figure ' + str(ix) + ' ' + sg)
fig.tight_layout()
plt.show()

https://stackoverflow.com/questions/69623487
复制相似问题